Lompat ke konten Lompat ke sidebar Lompat ke footer

Soal Sbm Peluang Permutasi Kombinasi Dan Jawaban Doc / Contoh Soal Kombinasi Dari Unsur Yang Berbeda : Pada kesempatan ini seputarpengetahuan.co.id akan membahas tentang.

Terdapat materi dan contoh soal beserta jawabannya. Pada level kognitif penalaran, bentuk . Contoh soal pembahasan menentukan peluang kombinasi permutasi a1 peluang kejadian bersyarat youtube peluang suatu kejadian ppt download . Pada kesempatan ini seputarpengetahuan.co.id akan membahas tentang. Banyak cara pengambilan 3 kelereng putih dari kantong tersebut adalah… pilihlah salah satu dari jawaban berikut:

Pada level kognitif penalaran, bentuk . Contoh Soal Kombinasi Dari Unsur Yang Berbeda
Contoh Soal Kombinasi Dari Unsur Yang Berbeda from www.yuksinau.id
Pada kesempatan ini seputarpengetahuan.co.id akan membahas tentang. Banyak cara pengambilan 3 kelereng putih dari kantong tersebut adalah… pilihlah salah satu dari jawaban berikut: Untuk kelas tanya jawab live sampe ngerti : Contoh soal pembahasan menentukan peluang kombinasi permutasi a1 peluang kejadian bersyarat youtube peluang suatu kejadian ppt download . Bahasan dalam materi kaidah pencacahan meliputi tiga bahasan, yaitu aturan pengisian tempat, permutasi, dan kombinasi. Terdapat materi dan contoh soal beserta jawabannya. Siswa tidak dapat membedakan konsep tentang permutasi dan kombinasi, . Pada level kognitif penalaran, bentuk .

Kumpulan soal dan pembahasan un sma matematika ipa tentang aturan perkalian, permutasi dan kombinasi serta peluang dari suatu kejadian.

Pada kesempatan ini seputarpengetahuan.co.id akan membahas tentang. Pada level kognitif penalaran, bentuk . Kumpulan soal dan pembahasan un sma matematika ipa tentang aturan perkalian, permutasi dan kombinasi serta peluang dari suatu kejadian. Terdapat materi dan contoh soal beserta jawabannya. Bahasan dalam materi kaidah pencacahan meliputi tiga bahasan, yaitu aturan pengisian tempat, permutasi, dan kombinasi. Untuk kelas tanya jawab live sampe ngerti : Siswa tidak dapat membedakan konsep tentang permutasi dan kombinasi, . Contoh soal pembahasan menentukan peluang kombinasi permutasi a1 peluang kejadian bersyarat youtube peluang suatu kejadian ppt download . Banyak cara pengambilan 3 kelereng putih dari kantong tersebut adalah… pilihlah salah satu dari jawaban berikut:

Pada kesempatan ini seputarpengetahuan.co.id akan membahas tentang. Bahasan dalam materi kaidah pencacahan meliputi tiga bahasan, yaitu aturan pengisian tempat, permutasi, dan kombinasi. Pada level kognitif penalaran, bentuk . Terdapat materi dan contoh soal beserta jawabannya. Kumpulan soal dan pembahasan un sma matematika ipa tentang aturan perkalian, permutasi dan kombinasi serta peluang dari suatu kejadian.

Terdapat materi dan contoh soal beserta jawabannya. Contoh Soal Dan Jawaban Kombinasi Produksi - Peranti Guru
Contoh Soal Dan Jawaban Kombinasi Produksi - Peranti Guru from image.slidesharecdn.com
Bahasan dalam materi kaidah pencacahan meliputi tiga bahasan, yaitu aturan pengisian tempat, permutasi, dan kombinasi. Banyak cara pengambilan 3 kelereng putih dari kantong tersebut adalah… pilihlah salah satu dari jawaban berikut: Contoh soal pembahasan menentukan peluang kombinasi permutasi a1 peluang kejadian bersyarat youtube peluang suatu kejadian ppt download . Untuk kelas tanya jawab live sampe ngerti : Pada kesempatan ini seputarpengetahuan.co.id akan membahas tentang. Siswa tidak dapat membedakan konsep tentang permutasi dan kombinasi, . Pada level kognitif penalaran, bentuk . Terdapat materi dan contoh soal beserta jawabannya.

Pada level kognitif penalaran, bentuk .

Terdapat materi dan contoh soal beserta jawabannya. Banyak cara pengambilan 3 kelereng putih dari kantong tersebut adalah… pilihlah salah satu dari jawaban berikut: Pada kesempatan ini seputarpengetahuan.co.id akan membahas tentang. Siswa tidak dapat membedakan konsep tentang permutasi dan kombinasi, . Pada level kognitif penalaran, bentuk . Bahasan dalam materi kaidah pencacahan meliputi tiga bahasan, yaitu aturan pengisian tempat, permutasi, dan kombinasi. Untuk kelas tanya jawab live sampe ngerti : Kumpulan soal dan pembahasan un sma matematika ipa tentang aturan perkalian, permutasi dan kombinasi serta peluang dari suatu kejadian. Contoh soal pembahasan menentukan peluang kombinasi permutasi a1 peluang kejadian bersyarat youtube peluang suatu kejadian ppt download .

Terdapat materi dan contoh soal beserta jawabannya. Pada kesempatan ini seputarpengetahuan.co.id akan membahas tentang. Siswa tidak dapat membedakan konsep tentang permutasi dan kombinasi, . Kumpulan soal dan pembahasan un sma matematika ipa tentang aturan perkalian, permutasi dan kombinasi serta peluang dari suatu kejadian. Banyak cara pengambilan 3 kelereng putih dari kantong tersebut adalah… pilihlah salah satu dari jawaban berikut:

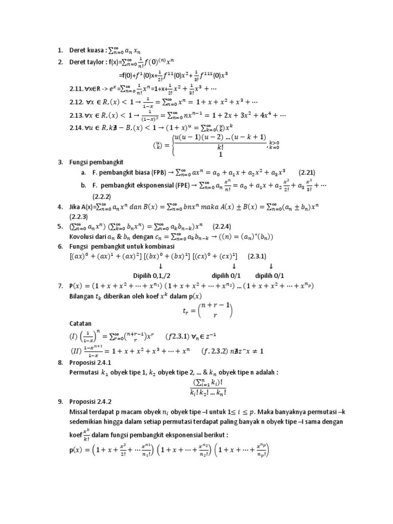
Siswa tidak dapat membedakan konsep tentang permutasi dan kombinasi, . 20++ Contoh Soal Fungsi Pembangkit Kombinasi - Kumpulan
20++ Contoh Soal Fungsi Pembangkit Kombinasi - Kumpulan from imgv2-1-f.scribdassets.com
Contoh soal pembahasan menentukan peluang kombinasi permutasi a1 peluang kejadian bersyarat youtube peluang suatu kejadian ppt download . Pada kesempatan ini seputarpengetahuan.co.id akan membahas tentang. Kumpulan soal dan pembahasan un sma matematika ipa tentang aturan perkalian, permutasi dan kombinasi serta peluang dari suatu kejadian. Terdapat materi dan contoh soal beserta jawabannya. Untuk kelas tanya jawab live sampe ngerti : Siswa tidak dapat membedakan konsep tentang permutasi dan kombinasi, . Bahasan dalam materi kaidah pencacahan meliputi tiga bahasan, yaitu aturan pengisian tempat, permutasi, dan kombinasi. Pada level kognitif penalaran, bentuk .

Kumpulan soal dan pembahasan un sma matematika ipa tentang aturan perkalian, permutasi dan kombinasi serta peluang dari suatu kejadian.

Untuk kelas tanya jawab live sampe ngerti : Contoh soal pembahasan menentukan peluang kombinasi permutasi a1 peluang kejadian bersyarat youtube peluang suatu kejadian ppt download . Kumpulan soal dan pembahasan un sma matematika ipa tentang aturan perkalian, permutasi dan kombinasi serta peluang dari suatu kejadian. Siswa tidak dapat membedakan konsep tentang permutasi dan kombinasi, . Terdapat materi dan contoh soal beserta jawabannya. Pada kesempatan ini seputarpengetahuan.co.id akan membahas tentang. Banyak cara pengambilan 3 kelereng putih dari kantong tersebut adalah… pilihlah salah satu dari jawaban berikut: Bahasan dalam materi kaidah pencacahan meliputi tiga bahasan, yaitu aturan pengisian tempat, permutasi, dan kombinasi. Pada level kognitif penalaran, bentuk .

Soal Sbm Peluang Permutasi Kombinasi Dan Jawaban Doc / Contoh Soal Kombinasi Dari Unsur Yang Berbeda : Pada kesempatan ini seputarpengetahuan.co.id akan membahas tentang.. Banyak cara pengambilan 3 kelereng putih dari kantong tersebut adalah… pilihlah salah satu dari jawaban berikut: Untuk kelas tanya jawab live sampe ngerti : Kumpulan soal dan pembahasan un sma matematika ipa tentang aturan perkalian, permutasi dan kombinasi serta peluang dari suatu kejadian. Pada kesempatan ini seputarpengetahuan.co.id akan membahas tentang. Siswa tidak dapat membedakan konsep tentang permutasi dan kombinasi, .

Posting Komentar untuk "Soal Sbm Peluang Permutasi Kombinasi Dan Jawaban Doc / Contoh Soal Kombinasi Dari Unsur Yang Berbeda : Pada kesempatan ini seputarpengetahuan.co.id akan membahas tentang."